AD:中药塞络通或可改善轻度认知障碍患者的记忆力和执行功能,2期临床试验结果发布!

2023-10-23
临床结果临床2期
从机制上来说,塞络通具有抗氧化、抗炎、抗凋亡和抗血小板聚集的作用,并且可以增加脑血流量和胆碱能功能,减少β-淀粉样蛋白积累,可能支持了本试验中观察到的对MCI的改善效果[3]。
近日,Alzheimer's & Dementia杂志上刊登了一种MCI新药塞络通的随机双盲安慰剂对照2期临床试验的结果[1]。
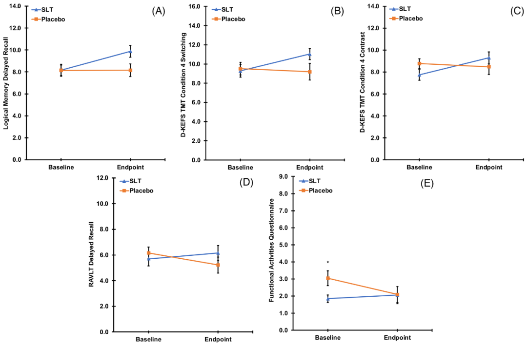
试验结果显示,与安慰剂相比,接受塞络通治疗12周后,受试者的记忆力和执行功能得到显著改善,表现为韦克斯勒记忆量表逻辑记忆延迟记忆评分提高1.40分,Delis-Kaplan执行功能系统(D-KEFS)追踪测试(TMT)条件4转换和对照量表评分提高1.42和1.56分,Rey听觉语言学习测试延迟记忆评分提高1.37分,功能活动量表评分提高1.21分。安全性方面,塞络通耐受性良好,不良事件发生率与安慰剂相近,且多为轻至中度。
AD:中药塞络通或可改善轻度认知障碍患者的记忆力和执行功能,2期临床试验结果发布!
Preview
来源: 生物谷
塞络通由人参提取物(主要成分为人参总皂苷)、银杏叶提取物(主要成分为银杏酮酯)和西红花提取物(主要成分为西红花总苷)按照5:5:1比例组成[2]。
本试验由澳大利亚西悉尼大学NICM健康研究所的研究团队开展,在2017-2020年间招募了78例年龄≥60岁且确诊为MCI的受试者,以1:1的比例随机分配到塞络通组或安慰剂组,随访12周,平均年龄分别为69.1±6.0和71.5±6.9岁,女性占比59%和46%,两组分别有33例和32例受试者完成了随访并纳入最终分析。
除了前面提到的记忆力和执行功能的几个主要终点的量表结果外,研究人员还使用蒙特利尔认知评估(MoCA),21项抑郁焦虑、压力量表(DASS-21),阿尔茨海默病生活质量(QoL-AD)和功能活动量表(FAQ)以及其他多个神经心理学测试量表对受试者进行评估,作为试验的次要终点。
总的来说,与安慰剂组相比,塞络通组逻辑记忆延迟记忆评分显著提高,具有中等效应量,D-KEFS TMT条件4转换和对照量表评分的提高也同样具有中等效应量。
AD:中药塞络通或可改善轻度认知障碍患者的记忆力和执行功能,2期临床试验结果发布!
Preview
来源: 生物谷
塞络通组(蓝)和安慰剂组(黄)受试者逻辑记忆延迟记忆评分(A),D-KEFS TMT条件4转换(B)和对照(C)量表评分,Rey听觉语言学习测试延迟记忆评分(D),功能活动量表评分(E)
随访期间,22例受试者(28%)共发生了39次不良事件(AE),其中塞络通组12例受试者发生了21次,安慰剂组10例受试者发生了18次,最常见的AE为胃肠道不适,包括恶心腹痛和反流。所有AE中,17个为轻度,20个为中度,仅有2个为重度,有9个AE被研究人员归类为可能与试验药物有关,但揭盲后,只有3个发生在塞络通组的2例受试者中。
3例因AE停药的受试者中,塞络通组包含2例,其中1例确认因试验药物相关AE停药,具体原因为腹痛背痛
根据这些结果,研究人员总结,塞络通耐受性良好,且可能有助于改善MCI患者的记忆检索和执行功能。
从机制上来说,塞络通具有抗氧化、抗炎、抗凋亡和抗血小板聚集的作用,并且可以增加脑血流量和胆碱能功能,减少β-淀粉样蛋白积累,可能支持了本试验中观察到的对MCI的改善效果[3]。
这是第一项评估塞络通MCI患者认知功能影响的临床试验,研究人员指出,鉴于他们观察到的量表评分差异相对较小,效应量中等,这些评分提高的功能意义和临床相关性目前尚不清楚,需要进行进一步的研究,以确认这些改善对维持或改善患者的日常功能和生活质量是否具有有意义的影响。
参考文献:
[1] Steiner‐Lim G Z, Bensoussan A, Andrews‐Marney E R, et al. A randomized, double‐blind, placebo‐controlled, parallel‐group 12‐week pilot phase II trial of SaiLuoTong (SLT) for cognitive function in older adults with mild cognitive impairment[J]. Alzheimer's & Dementia: Translational Research & Clinical Interventions, 2023, 9(4): e12420.
[2] https://www.chictr.org.cn/showproj.html?proj=5651
[3] Steiner G Z, Bensoussan A, Liu J, et al. Study protocol for a randomised, double-blind, placebo-controlled 12-week pilot phase II trial of Sailuotong (SLT) for cognitive function in older adults with mild cognitive impairment[J]. Trials, 2018, 19(1): 1-10.
更多内容,请访问原始网站
文中所述内容并不反映新药情报库及其所属公司任何意见及观点,如有版权侵扰或错误之处,请及时联系我们,我们会在24小时内配合处理。
机构
-
靶点
-
生物医药百科问答
全新生物医药AI Agent 覆盖科研全链路,让突破性发现快人一步
立即开始免费试用!
智慧芽新药情报库是智慧芽专为生命科学人士构建的基于AI的创新药情报平台,助您全方位提升您的研发与决策效率。
立即开始数据试用!
智慧芽新药库数据也通过智慧芽数据服务平台,以API或者数据包形式对外开放,助您更加充分利用智慧芽新药情报信息。