产品
数据
资源
版本对比
预约演示
免费注册
柳叶刀子刊:构建
卵巢癌
诊断人工智能融合模型
2024-01-20
·
生物谷
卵巢癌
早诊困难,研究团队让“小检验”发挥“大作用”。
近日,
中山大学肿瘤防治中心
妇科刘继红教授团队,联合
南方医科大学
、
华中科技大学同济医学院附属同济医院
、浙江大学医学院附属妇产科医院的合作者团队,在《柳叶刀·数字健康》(The Lancet Digital Health)发表了题为《使用实验室检验的人工智能模型准确诊断
卵巢癌
:一项中国的多中心、回顾性队列研究》的研究成果。
针对
卵巢癌
目前早期诊断困难、缺乏有效
肿瘤
标志物的困境,研究团队基于常规体检中的实验室检验构建了
卵巢癌
诊断人工智能融合模型,为
卵巢癌
提供了一种低成本、易获取,且高准确率的辅助诊断工具,有望助力
卵巢癌
的精准防控及早期诊断。
Preview
来源: 生物谷
模型示意图
卵巢癌
是致死率最高的妇科
恶性肿瘤
,其5年生存率仅为40%。
卵巢癌
发病隐匿,无特异性的症状体征,超过一半的患者发现已是晚期,这是
卵巢癌
预后差的重要原因。目前,临床上运用的主要
卵巢癌
标志物为
糖类抗原125(CA125)
和
人附睾蛋白4(HE4)
,研究已证实其敏感性和特异性有限。总的来说,当前缺乏标志物实现
卵巢癌
的早期诊断,亟需发展新的
卵巢癌
诊断标志物协助
卵巢癌
诊断走出困境。
常规实验室检验(包括血常规、生化检查、凝血检查、尿液检查等)是临床和体检中最常用的检查项目。既往研究已证明,部分常见检验项目,如血液中的白蛋白浓度、血小板计数、中性粒细胞计数等,与
卵巢癌
的诊断和预后显著相关,提示这些常规检验指标具有成为
卵巢癌
标志物的潜力。这些标准化的实验室检验方法,检验成本低,已广泛运用于常规体检和各级医疗机构中。若能以这些检验指标作为标志物,对提高体检机构和基层医疗机构的
卵巢癌
诊断水平,改善疾病二级预防现状,进而改善
卵巢癌
患者的预后具有重要意义。
创新构建
卵巢癌
预测模型,精准锁定风险人群
研究者共收集了
中山大学肿瘤防治中心
、
华中科技大学同济医学院附属同济医院
、浙江大学医学院附属妇产科医院超过1万例女性的98项实验室检查结果,并基于团队自主研发的创新人工智能融合框架——MCDM框架,融合20个人工智能基分类模型,构建了
卵巢癌
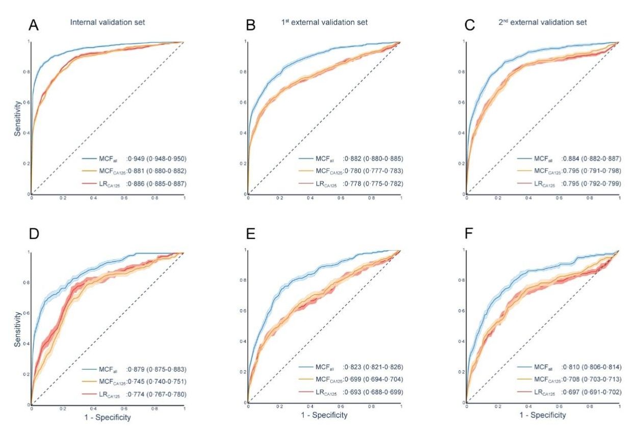
预测模型——MCF模型。该模型最终纳入51项实验室检验指标和年龄,其在内部验证集和两个独立的外部验证集上的AUC分别达0.949(95%CI 0.948-0.950)、0.882(0.880-0.885)和0.884(0.882-0.887)。
研究结果显示,MCF模型识别
卵巢癌
患者、特别是
早期卵巢癌
患者的AUC和灵敏度显著高于传统
卵巢癌
标志物
CA125
、
HE4
及两者联合,且在部分指标缺失的人群中依然可以对
卵巢癌
的风险进行较准确的预测,提示MCF模型具有较好的稳定性,并对真实世界数据具有较好的兼容性。
Preview
来源: 生物谷
模型对比CA125对
卵巢癌
(图A-C)、
早期卵巢癌(D-F)
的诊断效能
该研究为
卵巢癌
提供了一种低成本、易获取,且准确的人工智能辅助诊断工具——MCF模型。由于模型使用的所有特征均为常规实验室项目,故在体检机构或对妇科
肿瘤
经验有限的基层医疗机构中,该模型可为
卵巢癌
的诊断提供宝贵且高效的决策帮助。
本研究构建的MCF模型已封装为开源的
卵巢癌
预测工具,输入相应实验室检验数据和年龄即可计算患
卵巢癌
的风险值。此外,本研究还发现,除
肿瘤
标志物外,其他常规实验室检验,如D-D二聚体、血小板计数等,也对
卵巢癌
诊断预测有较大贡献,提示这些检验指标相关病理生理过程可能在
卵巢癌
的发展过程中发挥了重要作用,其潜在机制值得进一步探讨。
中山大学肿瘤防治中心
蔡光瑶博士、
南方医科大学
博士研究生黄方俊、
华中科技大学同济医学院附属同济医院
高越博士、浙江大学医学院附属妇产科医院李晓教授为本文共同第一作者;
中山大学肿瘤防治中心
刘继红教授、
南方医科大学
甄鑫教授、
华中科技大
学同济医学院附属同济医院高庆蕾教授为共同通讯作者。
更多内容,
请访问原始网站
文中所述内容并不反映新药情报库及其所属公司任何意见及观点,如有版权侵扰或错误之处,请及时联系我们,我们会在24小时内配合处理。
机构
中山大学肿瘤防治中心
南方医科大学
华中科技大学同济医学院附属同济医院
[+1]
适应症
卵巢癌
肿瘤
靶点
MUC16
WFDC2
药物
-
生物医药百科问答
全新生物医药AI Agent 覆盖科研全链路,让突破性发现快人一步
热门报告
2025 ESMO解读报告
智慧芽生物医药
2025年赛诺菲交易收购策略分析
智慧芽生物医药
GLP1R 小分子激动剂专利 fast follow 策略
智慧芽生物医药
立即开始免费试用!
智慧芽新药情报库是智慧芽专为生命科学人士构建的基于AI的创新药情报平台,助您全方位提升您的研发与决策效率。
开始免费试用
立即开始数据试用!
智慧芽新药库数据也通过智慧芽数据服务平台,以API或者数据包形式对外开放,助您更加充分利用智慧芽新药情报信息。
试用数据服务